Reaching the standard of PGA Tour players is out of reach for most of us, however, it is still useful to know what that top-level looks like – sometimes you could be judging your own game too harshly, other times you have to stand back and applaud just how good the PGA Tour pros are.
In this article we’ll cover two things, firstly what separates the top players, using strokes gained data. Then we’ll take a deeper dive into what best explains the differences in strokes gained – i.e. what shots and attributes best explain the gain or loss in shots.
In the second section, we’ll also show the actual standard of PGA pros for key areas – this is very handy for understanding performance and is often overlooked when we simply look at strokes gained data. All data has been sourced from the PGATour.com
What is strokes gained? Check out this article explaining strokes gained if you need a refresh.
Strokes gained averages
Below is a summary table for the top 20 and bottom 10 players on the PGA Tour measuring scoring average and strokes gained data in each area. No surprise here, on average (a dangerous phrase as we will see shortly) the top players gain most of their shots with driving and approach play.
The bottom 10 players lose shots on the field across the board, with the key areas being i) approach play, ii) putting and iii) driving.
| Scoring | SG Driving | SG Approach | SG Short Game | SG Putting | |
| Top 20 | 69.93 | 0.41 | 0.60 | 0.20 | 0.33 |
| Bottom 10 | 73.11 | -0.42 | -0.59 | -0.27 | -0.46 |
Let’s dive a little deeper into the strokes gained profiles of individual players on tour. The two interactive graphics below show every players’ scoring average against strokes gained data. The top plot displays driving and approach play, the second graphic shows short game and putting. I would love to plot it all in one, but 5D graphics are a little challenging…
The lower down on the graph a player is, the lower their score and the better they are performing. I’ve coloured the top 20 players red and the worst 10 green. You can spin and zoom the graph to see where each player sits on each axis.
Scoring average vs SG driving & SG approach*
*For small mobile devices, turn your phone to landscape once zoomed in to explore.
This graph shows us that each player has a unique profile for success. There is no doubting that you have to be excellent tee to green to be a top 20 player in the world.
We see Bryson right on the edge of the graphic leading the way in driving strokes gained and better than average in approaches. No surprise to see Colin Morikawa out by himself in strokes gained approaches, and gaining 0.38 shots off the tee.
However, Cameron Champ shows us that driving doesn’t guarantee success – gaining a whopping 0.64 in driving but averaging 72.8 shots a round.
Scoring average vs SG short game & SG putting
In the graphic above we have the same format, but now with short game and putting strokes gained plotted against scoring average. Here we can see how Louis Oosthuizen is managing to perform so well this season, leading the way in putting and performing well around the greens.
Zooming in you may pick out Corey Conners, top 20 in scoring average, but would be a serious threat if he could improve his short game and putting performance.
At the top of the graph we can see Hunter has lost more shots than any other player around the green and Cameron Champ, Grayson Murray and Kevin Stadler all need to find some magic on the green to improve their chances of success this year.
The first key takeaway from this article is that there are actually a few ways to be successful on tour. It is quite obvious that the top 20 scorers gain strokes across the board, but they all do it in different ways. Take Bryson D., Colin M. and Louis O. as three notable examples.
For those that want more, below are complete tables of scoring data for the top 20 and bottom 10 players. Or scroll down if you are keen to learn about the skill sets that best explained how players gain strokes in each area.
Scoring average top 20 PGA players
| Player | Scoring | SG Driving | SG Approach | SG Short Game | SG Putting |
| Jon Rahm | 69.60 | 0.85 | 0.76 | 0.22 | 0.20 |
| Dustin Johnson | 69.73 | 0.52 | 0.42 | 0.21 | 0.17 |
| Xander Schauffele | 69.77 | 0.42 | 0.65 | 0.20 | 0.60 |
| Louis Oosthuizen | 69.84 | 0.08 | 0.36 | 0.42 | 1.06 |
| Joaquin Niemann | 69.85 | 0.60 | 0.42 | -0.06 | 0.48 |
| Brooks Koepka | 69.85 | 0.62 | 0.74 | 0.17 | 0.35 |
| Justin Thomas | 69.87 | 0.21 | 0.85 | 0.40 | 0.03 |
| Collin Morikawa | 69.93 | 0.38 | 1.50 | 0.16 | -0.31 |
| Brian Harman | 69.94 | 0.22 | 0.05 | 0.32 | 0.55 |
| Viktor Hovland | 69.95 | 0.70 | 0.60 | 0.05 | 0.17 |
| Patrick Cantlay | 69.95 | 0.55 | 0.54 | 0.42 | 0.28 |
| Bryson DeChambeau | 69.97 | 1.13 | 0.28 | 0.02 | 0.42 |
| Patrick Reed | 69.98 | 0.10 | 0.42 | 0.39 | 0.67 |
| Daniel Berger | 70.01 | 0.35 | 0.69 | -0.07 | 0.46 |
| Abraham Ancer | 70.01 | 0.41 | 0.50 | -0.02 | 0.37 |
| Russell Henley | 70.03 | 0.03 | 0.90 | 0.06 | 0.12 |
| Cameron Tringale | 70.06 | 0.04 | 0.41 | 0.24 | 0.50 |
| Corey Conners | 70.09 | 0.62 | 0.74 | -0.09 | 0.05 |
| Tony Finau | 70.11 | 0.33 | 0.52 | 0.44 | -0.09 |
| Jordan Spieth | 70.12 | -0.01 | 0.59 | 0.43 | 0.44 |
Scoring average bottom 10 PGA players
| Player | Scoring | SG Driving | SG Approach | SG Short Game | SG Putting |
| Brian Gay | 72.40 | -0.82 | -0.72 | 0.03 | 0.17 |
| Cameron Champ | 72.75 | 0.64 | -0.25 | -0.44 | -0.97 |
| Sung Kang | 72.89 | -0.65 | -0.71 | -0.24 | -0.19 |
| Michael Kim | 73.02 | -1.15 | -0.23 | 0.09 | -0.25 |
| Grayson Murray | 73.05 | -0.06 | -0.20 | -0.48 | -1.33 |
| Michael Gellerman | 73.11 | -0.38 | 0.09 | -0.24 | -0.57 |
| Hunter Mahan | 73.24 | 0.09 | -1.69 | -0.81 | 0.57 |
| Martin Trainer | 73.27 | -0.40 | -1.44 | -0.14 | 0.09 |
| Nick Watney | 73.54 | -0.94 | -0.52 | -0.10 | -0.55 |
| Kevin Stadler | 73.86 | -0.56 | -0.25 | -0.40 | -1.53 |
Scoring vs strokes gained by area
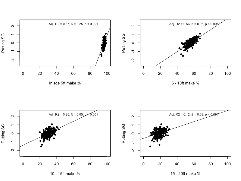
The graphs below show how strokes gained in putting, short game, approach play and driving relate to scoring averages. Evidently, all have a link with scoring, but with the regressions, we can get a (rough) idea of how each affects scoring average.
I’ve got to be careful what I say here because this analysis isn’t perfect (basic assumption testing and I stayed away from z-scores through this piece), but:
For visual people, you can consider i) the closer all dots are to the line, the better the fit/estimate and ii) the steeper the line, the more impact that area of the game has on overall scoring.
As above for data geeks, the R2 number gives an estimation of how well each area explains changes in scoring (1.0 = perfectly, 0.0 = not at all). The ß value estimates the change in scoring for every unit change in that area of strokes gained.
ps: there was no point attempting to fit a line to the short game data. We could and it would be statistically significant but it would be a very poor estimation.

These findings suggest approach play, followed by driving, followed by putting best explain scoring on the PGA Tour. However, remember this is on average, we’ve seen above, few if any players fit perfectly into this model.
How good are the PGA players & why doesn’t short game matter?
Strokes gained is an excellent system for explaining how and why players win each week. However, with strokes gained the average tour player is set to zero to provide a yard-stick. But what is this zero in raw performance values and what aspects within each area are most important.
In this section, we’re going to look at how good PGA Tour players are in key areas – putting, short game, approach play and driving. We’ll also see if some shots/attributes within each area are more important than others (spoiler alert).
Putting PGA stats breakdown
Below we have a table showing the best, worst and average (mean) conversion rate by putting distance. We can start to see that although putting isn’t the most important factor in explain scoring differences on tour, this is in part because they are all so dam good inside 5ft and 10ft!
The worst putters on tour are missing less than 7 out of 100 putts in tournament conditions inside 5ft. The best putters are missing just 8 in every 1,000 putts inside 5ft in tournaments!
When we get outside 10ft, no player on tour holes an exceptional percentage. However, I would be very happy if I was able to hole ~1 in 3 putts from 15-20ft, congrats Matt Fitzpatrick: 25 putts made in 82 attempts from 15-20ft.
| Worst | Average | Best | |
| Inside 5 ft | 93.1% | 96.7% | 99.2% |
| 5 – 10 ft | 42.6% | 56.3% | 67.2% |
| 10 – 15 ft | 20.0% | 30.2% | 42.7% |
| 15 – 20 ft | 7.9% | 18.3% | 30.8% |
This is another key lesson for any golfer off the main tour. Yes, putting doesn’t have the biggest impact on strokes gained, but this is in part because the tour putting average is exceptional.
If you want to become exceptional at golf, putting is still very important. The next section gives more insight into this fact.
Below we can see the relationship between the percentage of putts made from each distance and putting strokes gained. We’ve already done our science lesson, so in brief:
- If you miss just 1% of putts within 5ft your putting strokes gained will be strongly affected.
- Putts made from 5-10ft is the best predictor of putting strokes gained performance on tour.
- Putting from 10-15ft explains ~25% of strokes gained putting on tour.
- Putting performance between 15-20ft has little effect on strokes gained putting – we assume most players consitently 2 putt from this range on tour.

Key takeaways – elite players are very, very good inside 10-feet. Putting inside 5ft and 5-10ft are key areas to develop for Tour players to gain in putting strokes gained.
The average PGA Tour player will hole less than 1 in 3 putts from 10 to 15-feet and under 1 in 5 putts from 15 to 20-feet. Try not to kick yourself next time you miss a few 12 footers in a round. This fact is often missed when we watch tv highlights of the leading groups.
Short game
We’re not going to dive too much into short game data, but I do want to explain why it isn’t a key factor in strokes gained.
Below we have the best, average (mean) and worst players on tour for three short game areas, take a look at these numbers.
| Worst (ft) | Average (ft) | Best (ft) | |
| Inside 10 yards | 5″6′ | 3″6′ | 1″8′ |
| 10 – 20 yards | 9″2′ | 6″9′ | 5″1′ |
| Greenside Bunkers | 14″5′ | 9″4′ | 6″4′ |
When you consider the range of shots that fall into each category and how PGA courses are set up I can tell you the short game standard is incredibly high to achieve these figures!
PGA Tour players all consistently hit the ball very close when chipping. We also know that every player holes over 93% of putts inside 5 ft.
It quickly becomes clear that short game skills aren’t going to separate players over the course of a year because they are all so good, on average.
A critical shot here and there on a Sunday may be crucial for winning an event, but as we average out all the data we’re left with short game not explaining much of scoring.
Finally, we need to add on the fact that PGA Tour players hit more greens than anyone else in the world, so chip shots are far less frequent than what amateur players experience.
Key takeaway – To make it on the PGA Tour your short game has to be exceptional, even though it won’t gain you shots. If you hit a lot of greens, and you are a great putter, short game isn’t too important over the course of a season.
However, for most amateur players, hitting it closer from within 30 yards will be valuable, particularly if you miss a lot of greens within this range.
Approach play
Next, we have a summary of the best, average (mean) and worst players on tour for approach play. These values show the players’ average proximity to the hole from set distances from the fairway. Are they better or worse than you would imagine? Divide the values by 3 to work out the numbers in yards from the pin if you prefer.
| Worst (ft) | Average (ft) | Best (ft) | |
| 75 – 100 yds | 24″8′ | 17″6 | 11″1′ |
| 100 – 125 yds | 25″9′ | 20″2′ | 13″8′ |
| 125 – 150 yds | 30″1′ | 23″5′ | 16″5′ |
| 150 – 175 yds | 36″1′ | 27″9′ | 22″8′ |
| 175 – 200 yds | 41″2′ | 34″4′ | 27″10′ |
| 200 – 225 yds | 54″1′ | 42″3′ | 33″0′ |
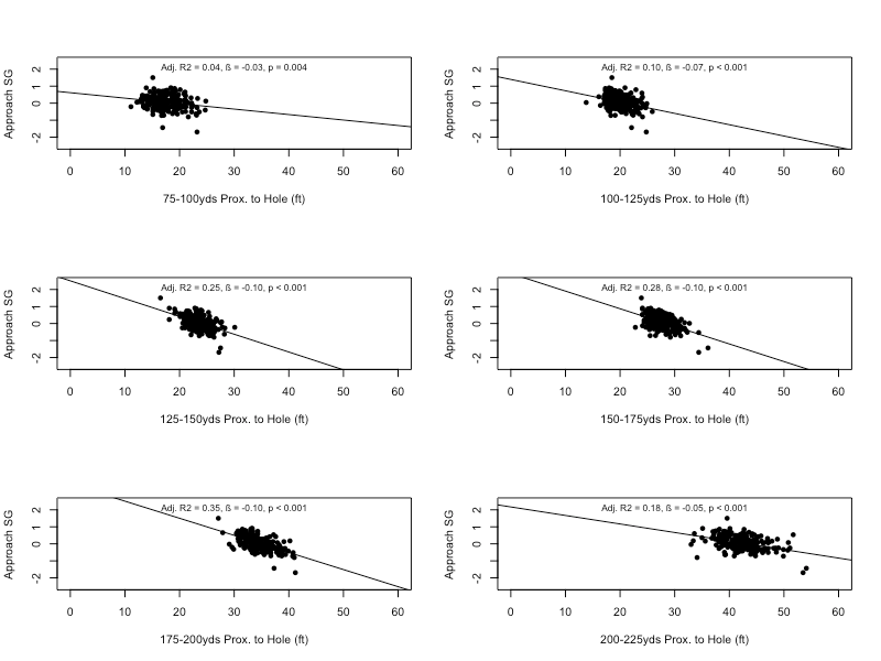
Below is our analysis of how performance within each area best explains strokes gained approach data. I’ll summarise the findings below.

Here is a rank order of the most important distances for improving strokes gained in approaches on tour:
- 175 – 200 yds
- 150 – 175 yds
- 125 – 150 yds
- 200 – 225 yds
- 100 – 125 yds
- 75 – 100 yds
Well this surprised me a touch. However, thinking deeper about the data we can soon work out why. Firstly, what is the frequency of these shots on tour? Players will often have shots from 125 – 200 yards, far less often will they be left with 75 yards into a green.
Secondly, the range between best and worst in each area is ~13ft, however, this added distance is far more costly from the longer distances where less accurate players will find water and bunkers. Whereas, from close ranges both high and low performing players are likely to hit green and 2 putt.
Key takeaway lessons – Shorter iron shots are no doubt important for getting you inside 10ft and making birdies. However, it is players proximity from longer distances that matters the most for scoring well over the course of the PGA season.
Driving
Strokes gained has been a godsend for better explaining the importance of driving. It is tricky to capture what great driving performance is with other metrics. In this final section, I wanted to see if you had to be a long driver to perform well, or if highly accurate drivers could still gain shots – something that is lost when looking at the whole dataset.
Below we have a summary of driving distance, fairways hit and good drives hit. See the text under the table for how good drives is calculated. The good news is that you can still make it on tour with an average driving distance of less than 270 yards, although it will be a grind.
| Worst | Average | Best | |
| Driving distance (yds) | 268.9 | 295.9 | 321.9 |
| Fairways in reg (%) | 47.6 | 60.2 | 74.9 |
| Good drives* (%) | 71.7% | 81.7% | 87.8% |
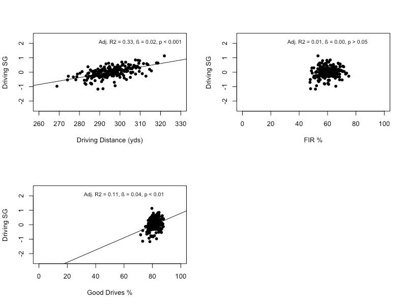
Below we have these variables plotted against strokes gained driving, we can see driving distance has the strongest impact on strokes gained, good drives % has a limited relationship and fairways hit explain little to none of strokes gained driving.

However, remember, this is finding the best fit through all 208 players competing on tour. If you look again you’ll see a few dots that are not close to that line. Below we have one finally graphic showing driving distance and good drives % against strokes gained driving.
Digging into this graphic we can see Bryson out on his own as expected. However, a spin to one side and you will spot Corey Conners and Matt Fitzpatrick who are both only average in terms of distance but are gaining shots on the field with the number of drives they put in play.
Jimmy Walker and Nick Whatney are two players who are above average for distance but are losing shots off the tee due to not getting the ball in player enough.
The main message from this section is that tour players hit it long and frequently put their ball in a position they can hit the green or fringe for their approach shot (72 – 88% of the time).
You can make up strokes by consistently putting your ball in play (> 85%), however adding 20 yards to your driving average is likely an easier way to compete on tour.
Summary
That summarises our deep dive into the performance of PGA tour players. Hopefully this article has dug deeper than the usual strokes gained analysis, looking at unique player profiles and showing the raw performance levels of PGA Tour players.
What does this mean for your own game? Well, it is tough to generalise for every reader. First, make sure you can get the ball in play and get rid of any costly 3-putting. After that point, the following lessons will begin to apply as you progress towards a single figure golfer, a scratch golfer and beyond.
- Proximity to the hole from 100 – 200 yards out is really important for scoring average. Work out the most common distances you have left into greens and invest time in practicing them (distance and direction).
- Driving distance is important, but only if you get the ball in play a lot of the time. If you frequently leave yourself 180 yards into holes then an extra 20 yards will help a lot. If you often leave yourself 120 yards into par 4s, then an extra 20 yards will be far less valauble.
- Improving your putting conversionrates inside 5ft and from 5-10ft are the quickest areas to start picking up strokes on the green.
- There are many ways to build a great golf game. Use average data points to guide you, but no elite player perfectly fits this model, so don’t feel you have to either.
I hope this has been useful and something a little different.
Happy golfing Will @ Golf Insider UK

Brilliant. really enjoyed trying to understand the stat data. Great work.
Thanks Peter,
It was a little different to the usual posts, but one I wanted to create and have up on the site. Glad you enjoyed it.
I hope the golf is going well.
Will
Thanks Will. Very interesting as always. I have stopped using pencil and paper to try and track things on course and now use shotscope which also gives very useful shots gained data against a variety of handicaps. It is a bit weak on putting data where a pencil and paper is still a useful addition
Thanks Mike,
Sounds like you’re building some good tracking systems. Nothing is perfect, but you’ve got to find that sweet spot between time invested and useful outputs.
I hope the golf is on fine form.
Will